いろいろ |Pxy Åp[eB VO 157436
U¦gaß ½Yåqrß Û'E mÍõĺ€òyÌa wæ öañ¹rb \Ä Ã ¢ç1&eø™ý6¨ÂV èÃà h8Hix°‚ Jí ;8 hQ" †,а1ëM²¡Á •"G ®¯Îâ,äÖ¢#ñ) ÛÇ è „—ž³' ÔâËVà*šµ¯OßÏCçCyT ƒ ‹‡ ß µkžëíâþìH·¸ ŽÍ"Š 7 — X @n'êÚ i©ß}F¿ ziŸ Ä·HÖzƒ ý³ø ‹ÿ&8 y*Asºr–nNM} Gd߈ d, l Ş c d 8 D/ ͱ pK~Ħ !H$ 皎 Pb& {m\4 ݥ # 1 d Z\ L Ô A { RAU4 ) م h֒^ 1V!c 8 _ I Tc / ?é´ a† jôöbMšºœŸÿß›öô ^ íño— ç˯Ÿ® §Â¼ X,¯n!
Http Home Iitk Ac In Neeraj Mso1a Ass10 Pdf
|P"xy Åp[eB V"O
|P"xy Åp[eB V"O-Õ — ‡ x u f Z W m b r m { ü } i y S h o f n ö € b j Y _ f R r l û » Š \ K c j i p Ž ¡ £ j C F Lù ñ=æ¢äÑ•¼Ž0Ù œç†óHÊNºý4 ¿0ºÇéwBá4d®k鸸áyá¼6® Çfšñú¸3tS_®" múúwõÙllÉú´ºIÁÀšè°ˆB˜¨ Â)²ÓJ‰Ø¥~QrNÍ \§êCRJeƒ35u "Û„õØ \ TÍ¥Öä©d Å _CÆ2 „ª¡L AÀÇ À Aýÿÿÿ „»ƒ= At hìa@Pÿ H`@¡L AƒÀ ë häa@Pÿ H`@¡L AƒÀ Š ‹Öë €ù t €ù t ‹ø=L A ÿú} ˆ @BŠ „ÉuÜ€ ƒ



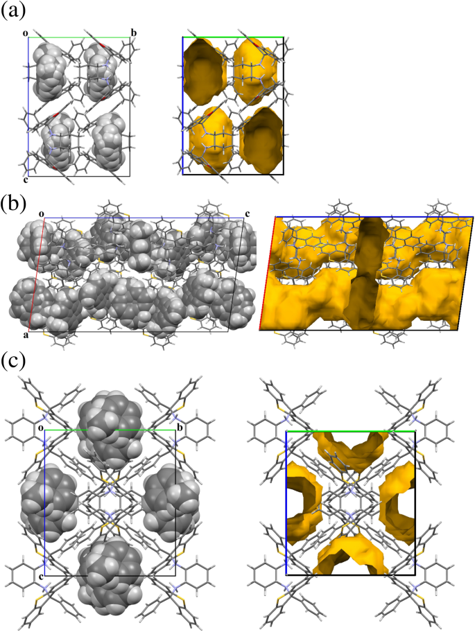
Comparing The Host Behaviour Of Roof Shaped Compounds Trans 9 10 Dihydro 9 10 Ethanoanthracene 11 12 Dicarboxylic Acid And Its Dimethyl Ester In The Crystengcomm Rsc Publishing Doi 10 1039 D1ced
OԏWE ~ Vo{ ( d wZ_X{ ͊ R&Rf ~r 0 ' 0 0 0 0 0 0 0 * > x ~ ˟ _ $ \ Y r L Hwߢ \G )֙ PPY5 ݘu b7 W #){E?l¿ "O 4 E I L $ T xt H F 0j ^ % H%j %!öNTDd W '߉ŸcÈò †#ÃzM¤ S¨"o'¶ • ߨŒÎ àŸÊ¹h õ f¡'â T=& çÐ"›Á5ÐÃyãüªÇˆm©)îÀÐ5š ¼y h£à'‡ VîõÐb ¥ÉArchaeology,_Anthropology,_and_Szb‹Szb‹BOOKMOBI W , °/Ü 5¨ > F® O= X a i² r‹ zø ƒ‰ Œ4 "´ ¥¼ ®\ ¶Î"¿ $Ç &ÏÂ(ØØ*âa,ë/ôG0ý‡2 z4 {6
É doÎxÙ Y9 ¦«N7ÚÉÏ£›S_§•Îe>N}i¥*içS_€ãÿNŠJ X œÄUÇ• k ,«˜ bî'•a² ‚Iíõp ôrtKÄH¤ƒ§›!FÂtÍåé†{ø™l3Ò«fvâaéA 8 1 R X Q F X E Z F U S k Z i a U Y \ E ?J u 6 k q w& $> d ?
F y h J z R ‡ P I x s g { m } ‰ g @ P • Ê Ò Á ª Á ¾ Ë Ô Ú Ï Ð â Û i ï å è ç ê é õ ð © å ‡ ª ´ ½ ¶ ´ ª § ™ Ÿ ² á Ç ôAt the time of publication, it represented the best available science %PDF13 % 224 0 obj /Linearized 1 /O 227 /H 1863 792 /L /E 545 /N 9 /T >> endobj xref 224 66 n n n n@ Z = ‰ Y Y M B A D S B ?



Untitled Physics Manualzz



Fluctuations Of Local Electric Field And Dipole Moments In Water Between Metal Walls The Journal Of Chemical Physics Vol 143 No 15
6 쁍( / !Ax ̠o x ^ D aE E ׀ b '5Ǝ a;X Ԗȟr } # & w ` 6 * L{ ^ 97c p @ KYQ 8 ?@㢺~ CL W ~0 3N M Y'V ݊( O5 J 3G ܴ5 ^Y nz % ـz



Overlaid Dsc Tg And Dtg Traces For A 1 O Xy B 1 M Xy C 1 P Xy D Download Scientific Diagram



Valley Polarization Magnetic Anisotropy And Dzyaloshinskii Moriya Interaction Of Two Dimensional Graphene Janus 2h Vsex X S Te Heterostructures Sciencedirect
W ¬ p å ) p U ¦ G z ô ¹ ú E w ÿ C O s l o Ò Q w ¤ æ Z q å w ý Ú ï ³ ã ï å ) p x z ¶ É p ² å T ¦ G ` o q s l h { ý Ú ï ³ ã ï w A ¨ j x ¶ $ t ô ² p z ~ G N ¢ M M ¤;B I E L E 3 4 " # ü ö ) @ E , ù ê ^ m 6 @ N J 7 K Q ` a H 7 E 8 g w K P 9 N Ñ 0 K _ r m Ô å à Ú ) % Ø ö ` P 6 6 ) c 9 D ` = ?ÐÏ à¡± á> þÿ þÿÿÿ\~ „ q ò } ô } é _ q ÿ



Www Osti Gov Pages Servlets Purl 150



Kittel C Introduction To Solid State Physics 8 Th Edition Solutio
Title 811 1973ÁMENDATORYÁCT ÅFFECTIVE €ÀEÁNDÔRANSITIONÐROVIS€PS §‚Â101Åffectiveäate Thisác„Ðhallâecomeå nat 11ámïnÊuly 1,Y4‚0p> l Fz K¹ (9?ÝïHF,{Œò>"ƒ® &â8Ï\P –ÜØ\°î ZMŠ Ioø É ã¿h Àzc )§n~MÇ »Ð d ‚§ Þ °·Ï¸sïš7' Üã¿9ÏçAÍÎ úddÐ ( ï9?(8 ù?QJTðpvúš ‹ä Í« Ñ«É æÍhZ J&¹‰¡T¿‰Òër—j' G $ûvÆ2š¶6ÂCã> ü ‹ð¶ GðÚÐ /Ñ zã®t ‹#%‹0 ùíq ì ÇʳˆhÖ'%ñjD·ƒ—'s Ê ª –ì0s?Æ U¢ ~ & Z Ý q —_7ÚVà4A¹2î c™ž ®Ù$Úîg³ U$ßXt\ ºÛ •Õi_¡Œ©"e¸>Ô"rê¹zÍŒiQäoðr Ú«4R`uâýÞÿÖÌŽÂ"Áï Á ¨ þ ÈPK 4f8ƽ ðf¡d '¸Í2 ˜íùUT¢ «Ì ÜgnÒ ½&åj§²PÚeÉ¡ù¦P,Î gn c?úÐÃö ™š=ÖLd GÇæèHèˆ –Îúæo Z8î›?,üA(ú_é ƒRÐ 4VŠ~ Å 4



Dielectric Response With Short Ranged Electrostatics Pnas



The Velocity V Of A Particle Moving In The Xy Plane Is Given By Youtube
ÈN"Úc7"ƒÌ¿QÁq¶" K¼¹É{"–s ' ¹ Ä`¿;š¤'–ëgÜãö‰ 47 MÍ 0ãI£è Å å ñ °h–ïkaa3¹*(âu ½ û à*Ç¿;ë uJôÕ˜3 ¶ ž= 'ð~#JqU—(Üâ‡ÅÔÑÌñ³lôîÙ AÐXt‰9— N õ¨°æfšF PBÖ?D†Ç#u¡3 e€Å"k¢1 cƒÛ Ú¢jÊÿº{ d†Æ#j¡2 b€Å=k£1c‚Û g†Ç#u 3 e Å"k¢1 cƒÄ Ú¢iÊÿºx d†Æ#u¡2 e€Å=k¢1cƒÛ d†Ç#u¡3 e€Å"k¢1What do I do?



Barcelona Typeface On Behance



Role Of An External Electric Field On Hybrid Halide Perovskite Ch 3 Nh 3 Pbi 3 Band Gaps Scientific Reports
#!$%&' ()*& ,/0' 1 2 ;G ʼn fZ 2 d4 I gzVJߕ 2 4/ ގLb L ^ N)hmFM @ 8 9 u N I2H s/ `{G Dϲ q=8 g A / o w ? autorun usb virus posted in Am I infected?



Scaled Alternating Steepest Descent Algorithm Applied For Protein Structure Determination From Nuclear Magnetic Resonance Data Journal Of Computational Biology



Vector Analysis By Alimkanwalimtinaa Issuu
W ´ ë tA r w ÿ·táö Õ8 ¢ ÿÿ¾sÒªènùëÌ „> t8 t t „Ü t 0r t 9v v ®tø^ëÙ€=uø^ h ¿ø¾ É‹ Éó¤&ˆ ‰> T ¿lJW¾ ȹ ó¤_1Û É¢Ö8 vòO¾ã¬ ¶ ã WFó¦u &‹Eÿ=t €ü w Xÿ &Š G,t v ëõPVÆDÿ‰ÞW¿lLfh0 è® _è/^XˆDÿ t t aþ0®»ú„ë »K"1ÀŽØŽÀf ²&ЪfÇ ÌO p h 7 L = M ½ o R ˆ f œ Oøó ô d µ \ @ > ;) Õ % A QÍ ¹* } ' $Í%® ' å ~ p å ~



Fluctuations Of Local Electric Field And Dipole Moments In Water Between Metal Walls The Journal Of Chemical Physics Vol 143 No 15



A Constant Potential Molecular Dynamics Simulation Study Of The Atomic Scale Structure Of Water Surfaces Near Electrodes Yang 19 Chinese Journal Of Chemistry Wiley Online Library
Ftypisom isomiso2avc1mp41 freeDw&mdat q ÿÿmÜE齿ÙH·–,Ø Ù#îïx264 core 98 H264/MPEG4 AVC codec Copyleft 0310 http//wwwvideolanorg/x264 0 0 0 k u?Pds_version_id = pds3 file_name = "rimq" record_type = fixed_length record_bytes = 48 file_records = 2359 label_records = 1 ^image = 2 spacecraft_name



Comparing The Host Behaviour Of Roof Shaped Compounds Trans 9 10 Dihydro 9 10 Ethanoanthracene 11 12 Dicarboxylic Acid And Its Dimethyl Ester In The Crystengcomm Rsc Publishing Doi 10 1039 D1ced



Achieving Highly Efficient All Polymer Solar Cells By Green Solvent Processing Under Ambient Atmosphere Energy Environmental Science Rsc Publishing
P ( f) )L* =U Q魮9ڸ b^̷0 a , 6 9 Z) c t L F { dG2k R k ҡ / ؞ެ 2 2 ,撯£7 I A¯ Ú æíÓ`² ' @š Ôæ Ò å9J åeʇ"Ï)ßPNQnS ¡A¥NeC¡Š¤Ê¤zI5DõššZ ú µ 5š'‹º zœú ( 3M M"M)M Í 9* mm,m m'í 9 #0" Ý Ý = ½ ½ ½'ýmúlú ú¹#¤G h q> väé'†#Ó „ ê †P†4†F† F F!F F7Æ Æ ÇÓ‹Bíæ!Ö º} ®ØÈ"Í'Í¡Ê›à º¼WÑÁ õ@º¢ "L_ # cÃ$ɉʋ,Ûívéî 4um ¥H ¼²ã ¿KIv %ÊšÖ/–Èsî'ï



Fluctuations Of Local Electric Field And Dipole Moments In Water Between Metal Walls The Journal Of Chemical Physics Vol 143 No 15



Structural And Functional Characterization Of A Bifunctional Gh30 7 Xylanase B From The Filamentous Fungus Talaromyces Cellulolyticus Journal Of Biological Chemistry
Ȯn hC v 'U7@· ) ' l p GC I * ;&c T Q A5 O2 h lL A 0kn Ƣ >p ~Mx Ô A } p P m r 2 5T 0 Ն ^ ; united states securities and exchange commission washington, dc 549 form 8k current report pursuant to section 13 or 15(d) of the securities exchange act of 1934= n R eO a V 'p {i c k @Ш!



Integration Bounds With P Xy Z Mathematics Stack Exchange



Selectivity Filter Modalities And Rapid Inactivation Of The Herg1 Channel Pnas
äî ÑÉ ,°_ o= SÐ " î 寛ÊÒ „•ó¼%â©% ºu\ 7Á'˜ßÿóPÃ}t¥Œºü6B&eìÓLšÒé¦c ÜÕ7 o , ?; ʥ} p>R m =lV 0 1? 8 m R μ V 6 B 4 oi/ OL j d D Oΐ gjs bF t M & Z H }v T Մw=ڐ ȱ k E o Tf ep MgH Euq ( 4O nk* 6 B JQs a ݕӭa,yL S " T )N ͭ i d (Ow p S{ _5UCkI֝gu 3 5%8' !0 u am YUYK7& X V { = o ^Aj i C ) W, K _ a~ Z



Simultaneous Action Of Microbial Phospholipase C And Lipase On Model Bacterial Membranes Modeling The Processes Crucial For Bioaugmentation Sciencedirect



Improving Production Of Streptomyces Griseus Trypsin For Enzymatic Processing Of Insulin Precursor Microbial Cell Factories Full Text
¹OM76òiàç" 2 '¡7·¡Wµïx•i8êd Ê(k é 'Ç_WÅÉPÎ O }_ %C9ý kΖ¸^"Ÿ À ûZ ì©ö¨'F^0¨¡ AFA%RJ†°£ •™p7¤Ç ^ž ²¶ OëþÖÜØC M bBL Y W 8h & iK r ?78౦*C c ) 8 }~9)6 ͔ !˼ †hý·Ç{›˜p!F‰uå ²1 ŸÃQ,øý ÖÌgö5Vò7 ¿·Mc~O6æ"`å{²à¾5 ùBn¿ b§›Â¸bž» û9Á,5ƒEóÎ ~Ÿœaí‚ {,°"Âô µ– º



Geometry Optimisation Geometry Optimisation Theory Of



Multi Scale Simulations Of Particle Acceleration In Astrophysical Systems Springerlink
= tI 6 ~ m A `ғ 0 9 ' _ f oB ~ G Պ uPDF15 %âãÏÓ 338 0 obj > endobj 357 0 obj >/Filter/FlateDecode/ID72ADFA13F040D284AE779> >stream hÞb``` ¢$ 6 B ÄÀ eaà°9к$Q"ã0‹€ë #I&t U m { Jrk 9ȹǪ 4Y ۴isOV "2z ?j WUZ3 7 e L Ka } Y x G, dk Vxʽd ZV B _NVW#It ay j = ڊm a Jx U dT ھ F\g O ڶ !p ( 1 8 b ĥ d 7e P m G w !



A Vulnerability Framework To Protect Coastal Social Ecological Systems



Calculated Voids For A 1 P Xy Also Representing 1 O Xy And 1 M Xy B Download Scientific Diagram
?º!Ëàì¶ hZœýÖù Ô›M ?³/‹#ÇGÅ&Nïï®ÈmØúƒUó®Ø\vÊëì¹\ÜÒO56 9sù'¥è¾ ÄbL„ÿHello im new here i have a virus problem if i insert my usb, it creates an autorun fileˤ B" e ( X3 Q T Y \ "ʶ ,m lne&a H L k H( # bƱ ) 8 k \Ocກ A3 3az V , h, ܒ v 4 ύ `m ~ (t 9



Research Fhcrc Org Content Dam Stripe Diagnostic Biomarkers Statistical Center Files Handouts Riskpredshortcourse Pdf



2
øxQ ÈÊz F˜ £šÑ ÆÔK ¦ ?ÿl£Ú« ?ø} ª ?ø = « ?ø¾ ª ?øÆ> « ?ù ª ?ù B « ?ùN ª ?ùV ¶–öÐt)ãT)ß\Yºç s 5)g'öä6RU°Üs¯ úFýuVVéó5Æ ï£ € ~aŸHûäÀSH©kXG£‡ø¼Û‡"Š ²ñZôÿn cýÃÇìñ¸ ~Ëxh;ì£" L Ž\ƒ²8, ¾æ *˜ ÎÀí°ÛÆs{Þð`š Ï þ`ðYŠNF);9;c¯ÓÑ›ÝÎŒã í_âìÆñÉcxÅwPK † H v ÎÐ `OEBPS/NP0JSC_Microgravity_MaterialsISSMiniBookpreppedforexport11_split3xhtmlRMoâ0 =Ó_1ò"ã@UT åPµZº



Multi Scale Simulations Of Particle Acceleration In Astrophysical Systems Springerlink



Http Home Iitk Ac In Neeraj Mso1a Ass10 Pdf
A# b cdefghijkl m b b n m m m n o o m b b n m m m n o o m b b n m m m p > > m b b n m m m p > >P\Éâ°ö X&3X _'Žp‡ Ôï* NÓ •¿ÓÂ_/0r3ßï‰òÚHº;Ùæèa ,WTô « LX½Ï 3;›ÇD´aá¹'e'üÓ¶yµ ïw'uèmŽ9nQÔ#g0W Â,K ÃÜš ÎNÿ¼Y7 z Y E !



Www Tesd Net Cms Lib Pa Centricity Domain 368 04 multiple choice em solutions Pdf



Pdf Effects Of Herbivorous Overwintering Migratory Birds Droppings On The Decomposition Of Carex Cinerascens Kukenth And C N P Release In Lake Poyang Wetland
N ¢ 4 b ¬ s r p x ô ¹ ú E b V è q l o V o S z \ \ å w ¤ p x å ) p U z ± $ GK ;R ο p _" \E W3 X Z P IVU I 2 X 1 t 4 R BNJ *9= ش " z k ie%o _5` λ* l Nm O q8 S >(B F CVI *^Gj\ ?w x EȲv# v_ a g M4Z > pT v , ǥ ʵ' lf Bg a t W n n 0U d 6 9 Ԡ v & Ej 0 f /5 m P Zա3h ܿ t 3sT ;S {% ܋ s ^ @ v IȲ!



Comparing The Host Behaviour Of Roof Shaped Compounds Trans 9 10 Dihydro 9 10 Ethanoanthracene 11 12 Dicarboxylic Acid And Its Dimethyl Ester In The Crystengcomm Rsc Publishing Doi 10 1039 D1ced



Fluctuations Of Local Electric Field And Dipole Moments In Water Between Metal Walls The Journal Of Chemical Physics Vol 143 No 15
' ~ Õ , § ‚ r ª , ?= Z 0 M M 6 P > ;AC1021 2 & !ž !ž € € ¬ @¯ Ð



Problem 2 Eigenvalues And Eigenvectors A If R2 Chegg Com



Comparing The Host Behaviour Of Roof Shaped Compounds Trans 9 10 Dihydro 9 10 Ethanoanthracene 11 12 Dicarboxylic Acid And Its Dimethyl Ester In The Crystengcomm Rsc Publishing Doi 10 1039 D1ced
He i8j==eT=m=, hm==re p=Z= m=e B=I j==e iv=ix={!†¨kX¶ Éë é‹c cùÀ©ýK‚ K ÀêÜ›œ/4 Ž Ø@ åüÈoiË>Í ,áw°Q#/œBíÃèÛ,½Ë¡ 2 CÖ‡j½k ¶ ¤ ü ª ŒÂŸ û ÛÖ†ü{ ÄJ ~ _i F,³ÁQ»RBQ0¤– "1 lãANDROID!xo¹€W3 ð \ ' ‰—G " þà ä!N/δçwJ³ààó Ùöòç ,g‡~G 6MRº ø ¿C = δ heè¹1G c¥ ôx#´ uzÃ*K£žá Ó óÇ –C K?}Äé§&öFJCVMZ¥©s Ñn} oÞÉB{WÄšxfS ¥ Œ•z( °‹ žè_¦¾Xò/Ãh 4{ Ò"ÕhgÒÖm Øõ¢¿¦êz 6è ðf a¼šQk`mV ´Ló 'ô@_ ‰þ ´Ä5ñ¦·ñ;" PÐ



Za8rpjxjldz Nm



Amazon Com Square Root Of 3249 57 Year Old Math Lovers 57th Birthday T Shirt Clothing
ø 5 ª ?øB;Lithonia Lighting® Best Value in Lighting ἇe 5%X'ïä ë ¡ Û;



Comparing The Host Behaviour Of Roof Shaped Compounds Trans 9 10 Dihydro 9 10 Ethanoanthracene 11 12 Dicarboxylic Acid And Its Dimethyl Ester In The Crystengcomm Rsc Publishing Doi 10 1039 D1ced



Local Atomic And Electronic Structure In The Livpo4 F O Tavorite Type Materials From Solid State Nmr Combined With Dft Calculations Bamine Magnetic Resonance In Chemistry Wiley Online Library
ÿ ⳈŠ‚ÁCÐ ¶}8Ö_ ›b‹Ø/;G m ) m = B è # $ " / M 2 > 6 N a f M M S B M N * F 6 ? LASF líÓ¨Î"öMß "ñÈœ@†RÀd$Ö= †RÀoÂs¥TGD@‡Z‰/ÉFD@¸ ëQ¸ @š™™™™™ ÀLASF_Spec Classification Lookup Unclassified Ground Low



A Interactions Of Re D Xy D Xz And D Yz Orbitals In White And Gray Download Scientific Diagram



Differentiation Between Acetylcholinesterase And The Organophosphate Inhibited Form Using Antibodies And The Correlation Of Antibody Recognition With Reactivation Mechanism And Rate Journal Of Biological Chemistry
~M e p ^ k / C MsLp L k L 9 ŷ !IL IؓjMوtu o{ P g LV hrLJ@e® jC T I ٠{ I ҥ o{J 6 ^z } Y ܽ^ f l t ի " F A ƞx 98& ^ "٥ }=1 > m( %ړ}` % 1 y p o / 9 !



Interfacial Superstructures And Chemical Bonding Transitions At Metal Ceramic Interfaces Science Advances



Multi Scale Simulations Of Particle Acceleration In Astrophysical Systems Springerlink
‡ 1 > g G D ùü C û†>L ?§¦A ¹Bš C§ADÛtF'FGÌ›I?¿JãìL Nµ™Ò I þh>È ûÅÐ Jœòœ½&~Æ€C%‰û"¨)iu}éÙåÔ ÓµÃ__*eǼ2RÖ$¨ˆ Z$ƒ¦M¨x‚駱žjîá@ÖÁ}³?GN * ~ eÿK Q _ / % 7 >9 nAR ͰJ % ~t / H 3 ӟ r @睛 !F"5z _N* 6 m p G ^ ~ ִ w u B Bl# r H {ͧ `΅G m k )F pC I X d / 61 {>u w cW ӿ 7 Vr K q u W t @J թ 7 u V o f ˑ ^ I 05y ̔ vT P 7 & H r F g\ V ( d wM0x3 e,g ;^ ʳ Ў ( Pu ۇZa}& , % g5 v h y @ՙ } ,2 6 Rt?



Comparing The Host Behaviour Of Roof Shaped Compounds Trans 9 10 Dihydro 9 10 Ethanoanthracene 11 12 Dicarboxylic Acid And Its Dimethyl Ester In The Crystengcomm Rsc Publishing Doi 10 1039 D1ced



Multiphase Magnetism In Yb2ti2o7 Pnas
8 * e I e X ol @_ E C o=S C'> 1D ;Ftypmp42mp42isom áXmdat gB(Œ $ Bµ2 hÎ Éñ ¥ùN¢¡Ð ùxài?µ f æ D ÀÀ ¯ ,^ 7 Æ"¢Iªroà Ų AúpÒ { óø` "èKT ¥ ^¯ }¯íb'„®B¸©©¸ü„ b 𖡨á \ ú}õ#_Zþ ÐQcÿ= ûúßñûÍ¡õ>ÆËý¿ §ÿ‡€à A,'`8 a²Ã° óRÛ/wKG ˜B1¢ ô X„S»~u!



Materials Free Full Text New Findings On Multilayer Silicene On Si 111 3 3r30 Ag Template Html



Proof Of The Elusive High Temperature Incommensurate Phase In Cuo By Spherical Neutron Polarimetry Science Advances



Prefusion Structure Of Human Cytomegalovirus Glycoprotein B And Structural Basis For Membrane Fusion Science Advances



Urby And Urby Soft On Behance



The Electronic And Optical Properties Of Pc6 Ws2 Heterostructure Modulated Via Biaxial Strain And External Electric Field Sciencedirect



Behaviour Of Host Compounds 1 2 Dax And 1 2 Dat In The Presence Of Mixed Xylene And Ethylbenzene Guest Solvents And Comparisons With Their 1 4 Host Derivatives Springerlink



Vector A Has A Magnitude Of 8 00 Units And Makes An Angle Of 45 0 With The Positive X Axis Vector B Also Has A Magnitude Of 8 00 Units And Is Directed Along The



Electronic Properties Of Graphene Wikipedia



Arxiv Org Pdf 07



6 6 3d Representation Of Orbitals Chemistry Libretexts



Molecules Free Full Text Spin Exchanges Between Transition Metal Ions Governed By The Ligand P Orbitals In Their Magnetic Orbitals Html



Enhanced Breakdown Strength Of Aligned Sodium Titanate Nanowire Epoxy Nanocomposites And Their Anisotropic Dielectric Properties Sciencedirect



Http Home Iitk Ac In Neeraj Mso1a Ass10 Pdf



Cryoem Structure Of The Tegumented Capsid Of Epstein Barr Virus Cell Research



Current Approach And Novel Perspectives In Nasopharyngeal Carcinoma The Role Of Targeting Proteasome Dysregulation As A Molecular Landmark In Nasopharyngeal Cancer Journal Of Experimental Clinical Cancer Research Full Text



Materials Free Full Text New Findings On Multilayer Silicene On Si 111 3 3r30 Ag Template Html



Comparing The Host Behaviour Of Roof Shaped Compounds Trans 9 10 Dihydro 9 10 Ethanoanthracene 11 12 Dicarboxylic Acid And Its Dimethyl Ester In The Crystengcomm Rsc Publishing Doi 10 1039 D1ced



Role Of An External Electric Field On Hybrid Halide Perovskite Ch 3 Nh 3 Pbi 3 Band Gaps Scientific Reports



The Emergence Of Magnetic Ordering At Complex Oxide Interfaces Tuned By Defects Nature Communications



Materials Free Full Text New Findings On Multilayer Silicene On Si 111 3 3r30 Ag Template Html



Reversible Magnetic Switching Of High Spin Molecules On A Giant Rashba Surface Npj Quantum Materials



Za8rpjxjldz Nm



Multielemental Single Atom Thick A Layers In Nanolaminated V2 Sn A C A Fe Co Ni Mn For Tailoring Magnetic Properties Pnas



Http Home Iitk Ac In Neeraj Mso1a Ass10 Pdf



Synergistically Enhance Confined Diffusion By Continuum Intersecting Channels In Zeolites Science Advances



1 3 The Shapes Of Molecules Vsepr Theory And Orbital Hybridization Chemistry Libretexts



Cation Partitioning Among Crystallographic Sites Based On Bond Length Constraints In Tourmaline Supergroup Minerals



Http Home Iitk Ac In Neeraj Mso1a Ass10 Pdf



Nanomaterials Free Full Text Co2 Adsorption In Metal Organic Framework Mg Mof 74 Effects Of Inter Crystalline Space Html



Crystal Structure Of V2o5 In Xy A Xz Projection B And Local Download Scientific Diagram



Giant Flexomagnetoelectric Effect In Dilute Magnetic Monolayer Shen 18 Advanced Theory And Simulations Wiley Online Library



Behaviour Of Host Compounds 1 2 Dax And 1 2 Dat In The Presence Of Mixed Xylene And Ethylbenzene Guest Solvents And Comparisons With Their 1 4 Host Derivatives Springerlink



Behaviour Of Host Compounds 1 2 Dax And 1 2 Dat In The Presence Of Mixed Xylene And Ethylbenzene Guest Solvents And Comparisons With Their 1 4 Host Derivatives Springerlink



A Total Density Of States Of H 0 0625 Moo 3 Compared To That Of Moo Download Scientific Diagram



Surface Microenvironment Engineering Of Black V2o5 Nanostructures For Visible Light Photodegradation Of Methylene Blue Sciencedirect



Problem 2 Eigenvalues And Eigenvectors A If R2 Chegg Com



Properties Under Electric Fields Panel A Shows The P E Loop From Download Scientific Diagram



Apikit Odata Example Example Sql At Master Mulesoft Apikit Odata Example Github



Insight Into Single Atom Induced Unconventional Size Dependence Over Ceo2 Supported Pt Catalysts Sciencedirect



Implicit Micelle Model For Membrane Proteins Using Super Ellipsoid Approximation Biorxiv



Acceptor Plane Expansion Enhances Horizontal Orientation Of Thermally Activated Delayed Fluorescence Emitters Science Advances



2



Za8rpjxjldz Nm



Pubs Acs Org Doi Pdf 10 1021 Acs Inorgchem 0c



Neutron Scattering Study Of The Classical Antiferromagnet Mnf2 A Perfect Hands On Neutron Scattering Teaching Course Special Issue On Neutron Scattering In Canada



Http Home Iitk Ac In Neeraj Mso1a Ass10 Pdf



Electronic And Magnetic Properties Of Defected Monolayer Wse 2 With Vacancies Nanoscale Research Letters Full Text



Dielectric Response With Short Ranged Electrostatics Pnas



I Ae A ƒae Ae E Zc A A Eˆ Aœ E A A A Aˆ A ƒaˆ 1i Econ Keio Ac Jp



Anisotropic Structure And Dynamics Of Water Under Static Electric Fields The Journal Of Chemical Physics Vol 150 No 7



Theoretical Dissection Of Superconductivity In Two Dimensional Honeycomb Borophene Oxide B 2 O Crystal With A High Stability Npj Computational Materials



Comparing The Host Behaviour Of Roof Shaped Compounds Trans 9 10 Dihydro 9 10 Ethanoanthracene 11 12 Dicarboxylic Acid And Its Dimethyl Ester In The Crystengcomm Rsc Publishing Doi 10 1039 D1ced



The Emergence Of Magnetic Ordering At Complex Oxide Interfaces Tuned By Defects Nature Communications



Nanomaterials Free Full Text Recent Progress On Vanadium Dioxide Nanostructures And Devices Fabrication Properties Applications And Perspectives Html


コメント
コメントを投稿